Министерство Юстиции Российской Федерации версия для слабовидящих
ПРИКАЗ Минтруда РФ от 27.11.2017 N 809н
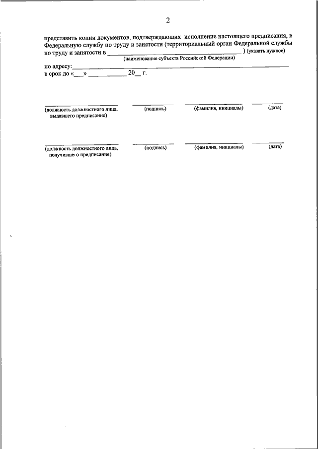
"ОБ УТВЕРЖДЕНИИ ФОРМ БЛАНКОВ ОБЯЗАТЕЛЬНЫХ ДЛЯ ИСПОЛНЕНИЯ ПРЕДПИСАНИЙ, ВЫДАВАЕМЫХ ФЕДЕРАЛЬНОЙ СЛУЖБОЙ ПО ТРУДУ И ЗАНЯТОСТИ И ЕЕ ТЕРРИТОРИАЛЬНЫМИ ОРГАНАМИ ПРИ ОСУЩЕСТВЛЕНИИ ФУНКЦИЙ ПО НАДЗОРУ И КОНТРОЛЮ В СФЕРЕ ЗАНЯТОСТИ НАСЕЛЕНИЯ, И ПЕРЕЧНЯ ДОЛЖНОСТНЫХ ЛИЦ ФЕДЕРАЛЬНОЙ СЛУЖБЫ ПО ТРУДУ И ЗАНЯТОСТИ И ЕЕ ТЕРРИТОРИАЛЬНЫХ ОРГАНОВ, УПОЛНОМОЧЕННЫХ ВЫДАВАТЬ ОБЯЗАТЕЛЬНЫЕ ДЛЯ ИСПОЛНЕНИЯ ПРЕДПИСАНИЯ ПРИ ОСУЩЕСТВЛЕНИИ НАДЗОРА И КОНТРОЛЯ В СФЕРЕ ЗАНЯТОСТИ НАСЕЛЕНИЯ"
(Зарегистрировано в Минюсте РФ 19.12.2017 N 49316)
Показывать страниц:
Для качественной печати: PDF-файл документа (342 Кб)
Страница 6 из 9