Министерство Юстиции Российской Федерации версия для слабовидящих
ПРИКАЗ Минтранса РФ от 30.11.2017 N 504
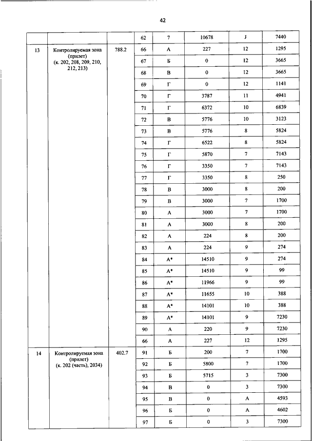
"ОБ УТВЕРЖДЕНИИ ПРЕДЕЛОВ ВОЗДУШНОГО ГРУЗО - ПАССАЖИРСКОГО ПОСТОЯННОГО МНОГОСТОРОННЕГО ПУНКТА ПРОПУСКА ЧЕРЕЗ ГОСУДАРСТВЕННУЮ ГРАНИЦУ РОССИЙСКОЙ ФЕДЕРАЦИИ В МЕЖДУНАРОДНОМ АЭРОПОРТУ МОСКВА (ВНУКОВО)"
(Зарегистрировано в Минюсте РФ 18.12.2017 N 49280)
Показывать страниц:
Для качественной печати: PDF-файл документа (2 Мб)
Страница 43 из 65