Министерство Юстиции Российской Федерации
версия для слабовидящих
×
Закрыть
Информация об официальном опубликовании
ПРИКАЗ Минприроды РФ от 29.06.2016 N 376 (Начало)
"ОБ УТВЕРЖДЕНИИ ПОЛОЖЕНИЯ О НАЦИОНАЛЬНОМ ПАРКЕ "ВАЛДАЙСКИЙ"
(Зарегистрировано в Минюсте РФ 22.07.2016 N 42963)
Показывать страниц:
1
10
100
Для качественной печати:
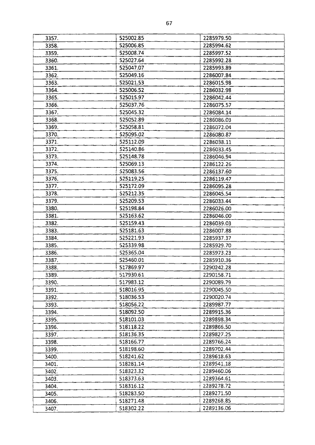
PDF-файл документа (47 Мб)
<<
<
73
74
75
76
77
78
79
80
81
82
83
>
>>
Страница
78
из
911
<<
<
73
74
75
76
77
78
79
80
81
82
83
>
>>