Министерство Юстиции Российской Федерации
версия для слабовидящих
×
Закрыть
Информация об официальном опубликовании
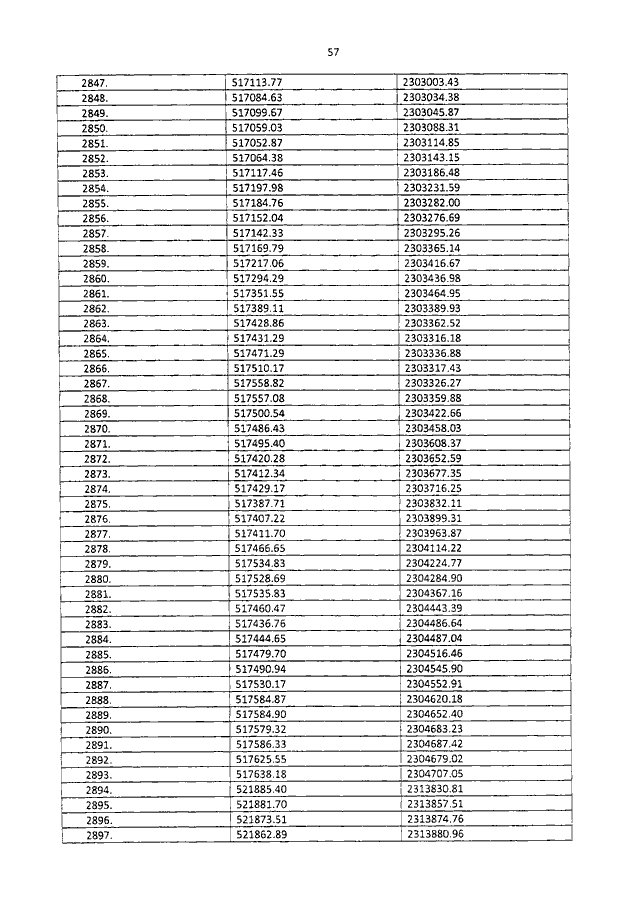
ПРИКАЗ Минприроды РФ от 29.06.2016 N 376 (Начало)
"ОБ УТВЕРЖДЕНИИ ПОЛОЖЕНИЯ О НАЦИОНАЛЬНОМ ПАРКЕ "ВАЛДАЙСКИЙ"
(Зарегистрировано в Минюсте РФ 22.07.2016 N 42963)
Показывать страниц:
1
10
100
Для качественной печати:
PDF-файл документа (47 Мб)
<<
<
63
64
65
66
67
68
69
70
71
72
73
>
>>
Страница
68
из
911
<<
<
63
64
65
66
67
68
69
70
71
72
73
>
>>