Министерство Юстиции Российской Федерации
версия для слабовидящих
×
Закрыть
Информация об официальном опубликовании
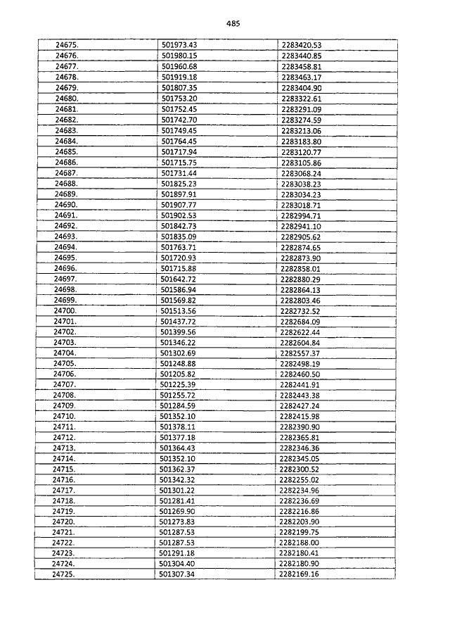
ПРИКАЗ Минприроды РФ от 29.06.2016 N 376 (Начало)
"ОБ УТВЕРЖДЕНИИ ПОЛОЖЕНИЯ О НАЦИОНАЛЬНОМ ПАРКЕ "ВАЛДАЙСКИЙ"
(Зарегистрировано в Минюсте РФ 22.07.2016 N 42963)
Показывать страниц:
1
10
100
Для качественной печати:
PDF-файл документа (47 Мб)
<<
<
491
492
493
494
495
496
497
498
499
500
501
>
>>
Страница
496
из
911
<<
<
491
492
493
494
495
496
497
498
499
500
501
>
>>