Министерство Юстиции Российской Федерации
версия для слабовидящих
×
Закрыть
Информация об официальном опубликовании
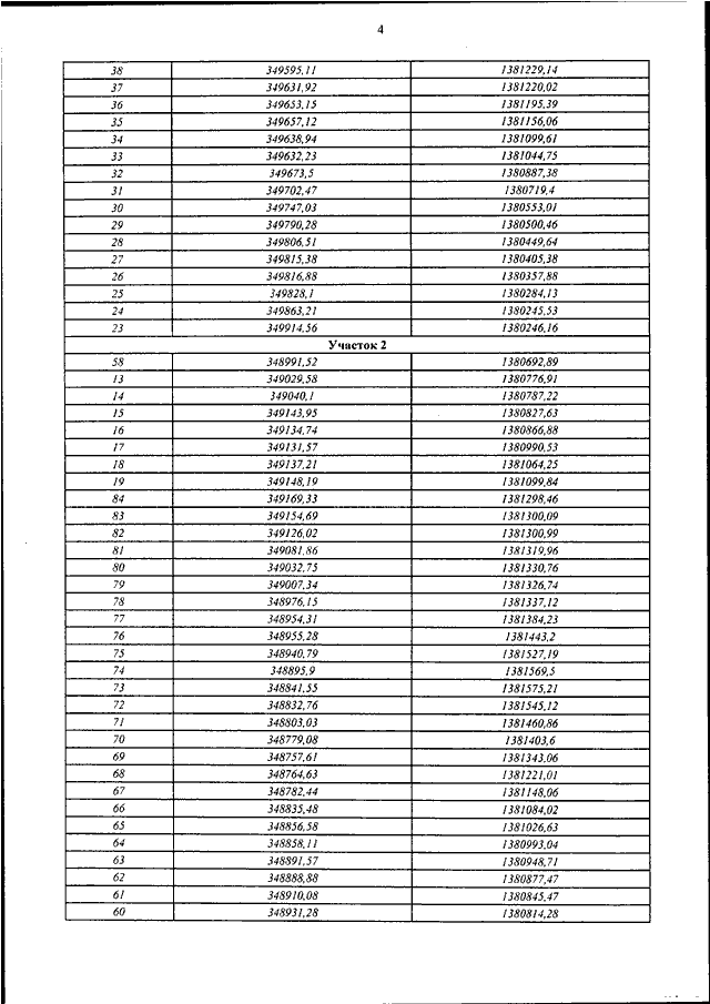
ПРИКАЗ Минприроды РФ от 20.02.2017 N 67
"ОБ УТВЕРЖДЕНИИ ПОЛОЖЕНИЯ О НАЦИОНАЛЬНОМ ПАРКЕ "КИСЛОВОДСКИЙ"
(Зарегистрировано в Минюсте РФ 02.05.2017 N 46563)
Показывать страниц:
1
10
100
Для качественной печати:
PDF-файл документа (11 Мб)
<<
<
38
39
40
41
42
43
44
45
46
47
48
>
>>
Страница
43
из
146
<<
<
38
39
40
41
42
43
44
45
46
47
48
>
>>