Министерство Юстиции Российской Федерации
версия для слабовидящих
×
Закрыть
Информация об официальном опубликовании
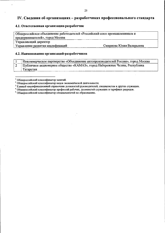
ПРИКАЗ Минтруда РФ от 13.03.2017 N 258н
"ОБ УТВЕРЖДЕНИИ ПРОФЕССИОНАЛЬНОГО СТАНДАРТА "КОНСТРУКТОР В АВТОМОБИЛЕСТРОЕНИИ"
(Зарегистрировано в Минюсте РФ 03.04.2017 N 46223)
Показывать страниц:
1
10
100
Для качественной печати:
PDF-файл документа (1 Мб)
<<
<
21
22
23
24
25
26
>
>>
Страница
26
из
26
<<
<
21
22
23
24
25
26
>
>>