Министерство Юстиции Российской Федерации версия для слабовидящих
ПРИКАЗ Минэкономразвития РФ от 01.03.2017 N 91
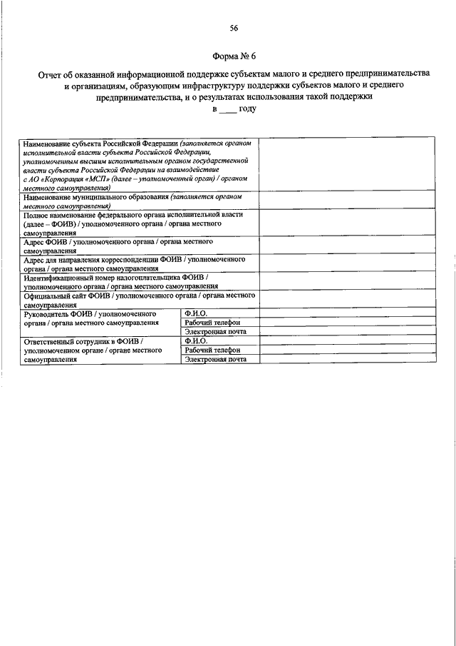
"ОБ УТВЕРЖДЕНИИ ПОРЯДКА, СРОКОВ И ФОРМ ПРЕДСТАВЛЕНИЯ ИНФОРМАЦИИ, ПРЕДУСМОТРЕННОЙ ПУНКТАМИ 5 И 6 ПРАВИЛ ПРОВЕДЕНИЯ АКЦИОНЕРНЫМ ОБЩЕСТВОМ "ФЕДЕРАЛЬНАЯ КОРПОРАЦИЯ ПО РАЗВИТИЮ МАЛОГО И СРЕДНЕГО ПРЕДПРИНИМАТЕЛЬСТВА" МОНИТОРИНГА ОКАЗАНИЯ ФЕДЕРАЛЬНЫМИ ОРГАНАМИ ИСПОЛНИТЕЛЬНОЙ ВЛАСТИ, ОРГАНАМИ ИСПОЛНИТЕЛЬНОЙ ВЛАСТИ СУБЪЕКТОВ РОССИЙСКОЙ ФЕДЕРАЦИИ, ОРГАНАМИ МЕСТНОГО САМОУПРАВЛЕНИЯ ПОДДЕРЖКИ СУБЪЕКТАМ МАЛОГО И СРЕДНЕГО ПРЕДПРИНИМАТЕЛЬСТВА И ОРГАНИЗАЦИЯМ, ОБРАЗУЮЩИМ ИНФРАСТРУКТУРУ ПОДДЕРЖКИ СУБЪЕКТОВ МАЛОГО И СРЕДНЕГО ПРЕДПРИНИМАТЕЛЬСТВА, И МОНИТОРИНГА ОКАЗАНИЯ ОРГАНИЗАЦИЯМИ, ОБРАЗУЮЩИМИ ИНФРАСТРУКТУРУ ПОДДЕРЖКИ СУБЪЕКТОВ МАЛОГО И СРЕДНЕГО ПРЕДПРИНИМАТЕЛЬСТВА, ПОДДЕРЖКИ СУБЪЕКТАМ МАЛОГО И СРЕДНЕГО ПРЕДПРИНИМАТЕЛЬСТВА, А ТАКЖЕ СОСТАВА ТАКОЙ ИНФОРМАЦИИ"
(Зарегистрировано в Минюсте РФ 27.03.2017 N 46144)
Показывать страниц:
Для качественной печати: PDF-файл документа (5 Мб)
Страница 63 из 95