Министерство Юстиции Российской Федерации
версия для слабовидящих
×
Закрыть
Информация об официальном опубликовании
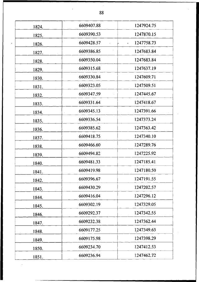
ПРИКАЗ Минприроды РФ от 12.07.2022 N 471
"ОБ УТВЕРЖДЕНИИ ПОЛОЖЕНИЯ О НАЦИОНАЛЬНОМ ПАРКЕ "РУССКИЙ СЕВЕР"
(Зарегистрировано в Минюсте РФ 03.11.2022 N 70819)
Показывать страниц:
1
10
100
Для качественной печати:
PDF-файл документа (12 Мб)
<<
<
84
85
86
87
88
89
90
91
92
93
94
>
>>
Страница
89
из
189
<<
<
84
85
86
87
88
89
90
91
92
93
94
>
>>