Министерство Юстиции Российской Федерации
версия для слабовидящих
×
Закрыть
Информация об официальном опубликовании
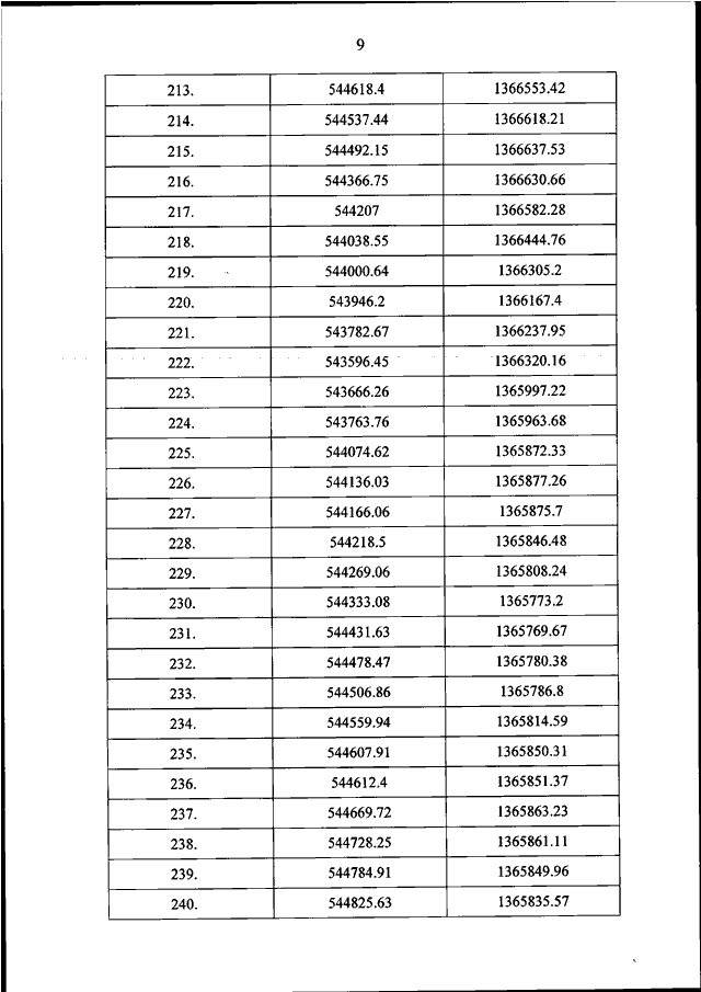
ПРИКАЗ Минприроды РФ от 14.06.2022 N 405
"ОБ УТВЕРЖДЕНИИ ПОЛОЖЕНИЯ О ГОСУДАРСТВЕННОМ ПРИРОДНОМ ЗАКАЗНИКЕ ФЕДЕРАЛЬНОГО ЗНАЧЕНИЯ "СУРСКИЙ"
(Зарегистрировано в Минюсте РФ 28.09.2022 N 70262)
Показывать страниц:
1
10
100
Для качественной печати:
PDF-файл документа (6 Мб)
<<
<
13
14
15
16
17
18
19
20
21
22
23
>
>>
Страница
18
из
79
<<
<
13
14
15
16
17
18
19
20
21
22
23
>
>>