Министерство Юстиции Российской Федерации версия для слабовидящих
ПРИКАЗ Минтруда РФ от 09.08.2022 N 476н
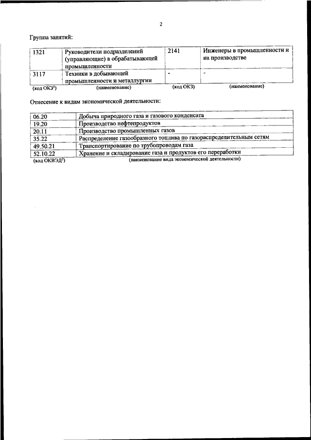
"ОБ УТВЕРЖДЕНИИ ПРОФЕССИОНАЛЬНОГО СТАНДАРТА "СПЕЦИАЛИСТ ПО ЭКСПЛУАТАЦИИ ТЕХНОЛОГИЧЕСКОГО ОБОРУДОВАНИЯ ГАЗОРАСПРЕДЕЛИТЕЛЬНЫХ СТАНЦИЙ, ОТДЕЛЬНО СТОЯЩИХ ГАЗОРЕГУЛЯТОРНЫХ ПУНКТОВ, УЗЛОВ УЧЕТА И РЕДУЦИРОВАНИЯ ГАЗА"
(Зарегистрировано в Минюсте РФ 09.09.2022 N 70021)
Показывать страниц:
Для качественной печати: PDF-файл документа (5 Мб)
Страница 3 из 53