Министерство Юстиции Российской Федерации
версия для слабовидящих
×
Закрыть
Информация об официальном опубликовании
ПРИКАЗ Минприроды РФ от 11.03.2022 N 179
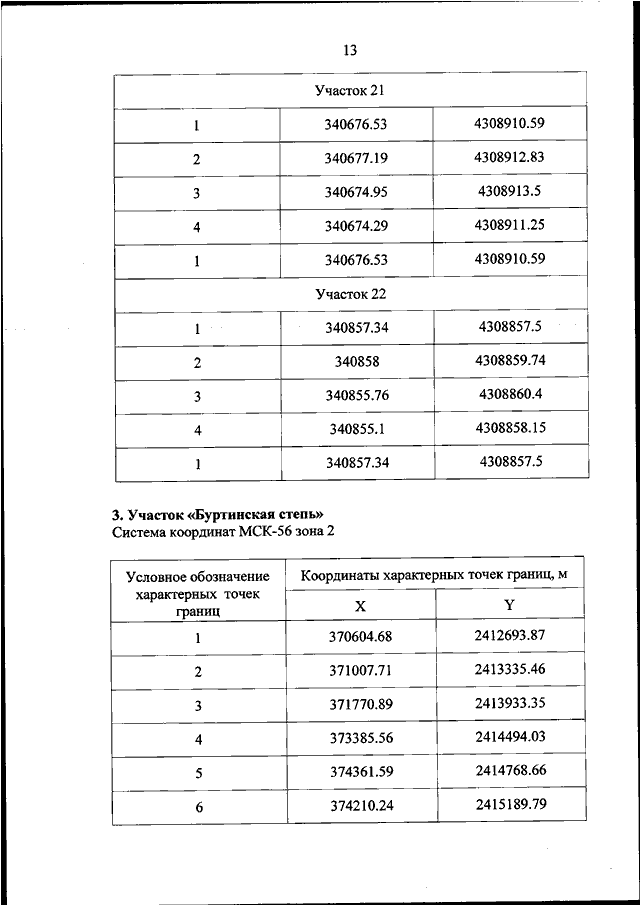
"ОБ УТВЕРЖДЕНИИ ПОЛОЖЕНИЯ О ГОСУДАРСТВЕННОМ ПРИРОДНОМ ЗАПОВЕДНИКЕ "ОРЕНБУРГСКИЙ"
(Зарегистрировано в Минюсте РФ 05.07.2022 N 69142)
Показывать страниц:
1
10
100
Для качественной печати:
PDF-файл документа (7 Мб)
<<
<
17
18
19
20
21
22
23
24
25
26
27
>
>>
Страница
22
из
54
<<
<
17
18
19
20
21
22
23
24
25
26
27
>
>>