Министерство Юстиции Российской Федерации
версия для слабовидящих
×
Закрыть
Информация об официальном опубликовании
ПРИКАЗ Минпромторга РФ от 15.02.2022 N 404
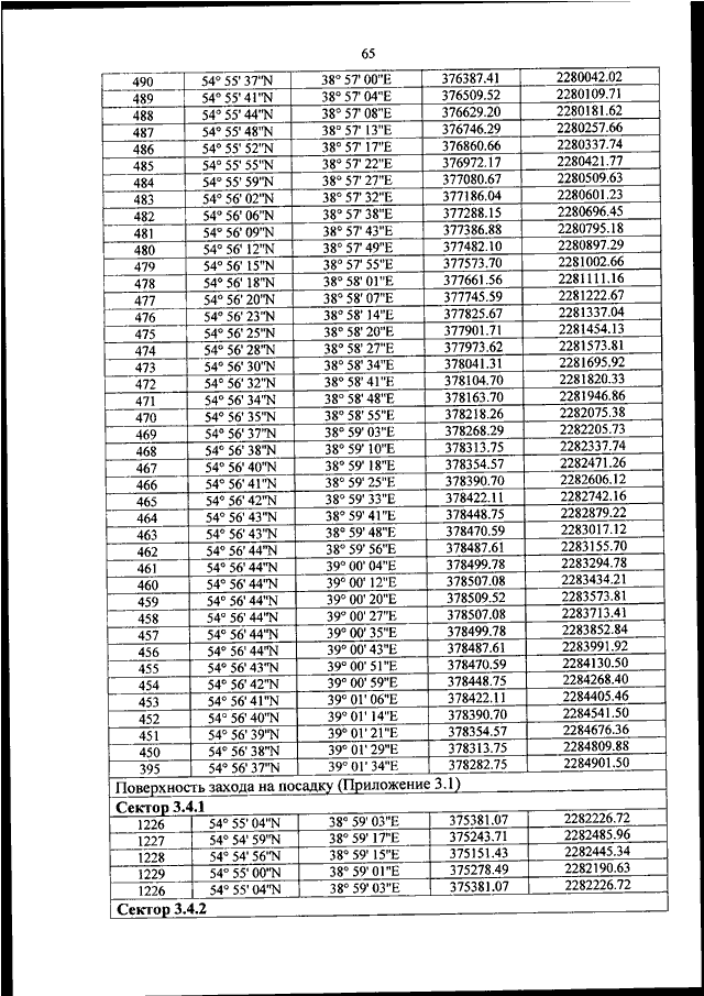
"ОБ УСТАНОВЛЕНИИ ПРИАЭРОДРОМНОЙ ТЕРРИТОРИИ (ПОДЗОНЫ 1 - 6) АЭРОДРОМА ЭКСПЕРИМЕНТАЛЬНОЙ АВИАЦИИ ЛУХОВИЦЫ (ТРЕТЬЯКОВО)"
(Зарегистрировано в Минюсте РФ 06.04.2022 N 68094)
Показывать страниц:
1
10
100
Для качественной печати:
PDF-файл документа (60 Мб)
<<
<
62
63
64
65
66
67
68
69
70
71
72
>
>>
Страница
67
из
251
<<
<
62
63
64
65
66
67
68
69
70
71
72
>
>>