Министерство Юстиции Российской Федерации
версия для слабовидящих
×
Закрыть
Информация об официальном опубликовании
ПРИКАЗ Минпромторга РФ от 15.02.2022 N 404
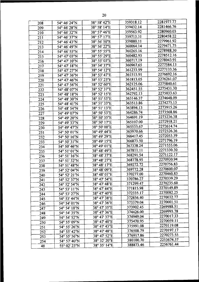
"ОБ УСТАНОВЛЕНИИ ПРИАЭРОДРОМНОЙ ТЕРРИТОРИИ (ПОДЗОНЫ 1 - 6) АЭРОДРОМА ЭКСПЕРИМЕНТАЛЬНОЙ АВИАЦИИ ЛУХОВИЦЫ (ТРЕТЬЯКОВО)"
(Зарегистрировано в Минюсте РФ 06.04.2022 N 68094)
Показывать страниц:
1
10
100
Для качественной печати:
PDF-файл документа (60 Мб)
<<
<
17
18
19
20
21
22
23
24
25
26
27
>
>>
Страница
22
из
251
<<
<
17
18
19
20
21
22
23
24
25
26
27
>
>>