Министерство Юстиции Российской Федерации
версия для слабовидящих
×
Закрыть
Информация об официальном опубликовании
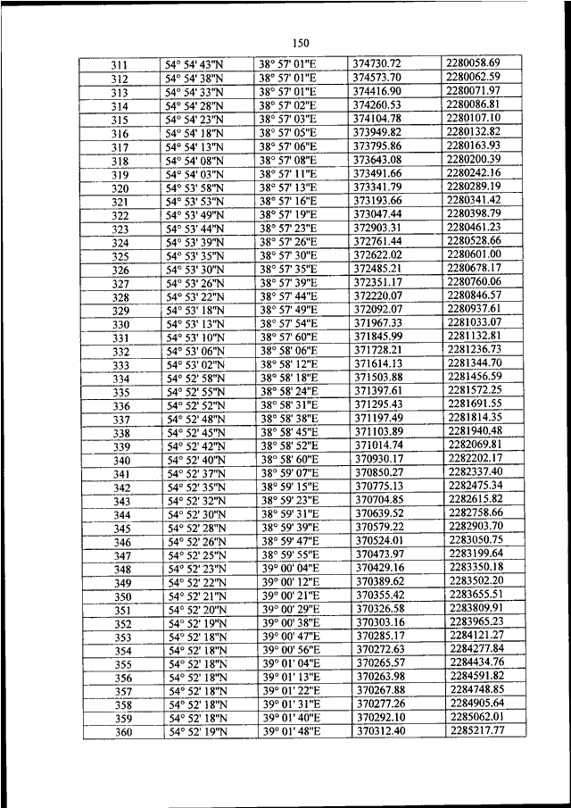
ПРИКАЗ Минпромторга РФ от 15.02.2022 N 404
"ОБ УСТАНОВЛЕНИИ ПРИАЭРОДРОМНОЙ ТЕРРИТОРИИ (ПОДЗОНЫ 1 - 6) АЭРОДРОМА ЭКСПЕРИМЕНТАЛЬНОЙ АВИАЦИИ ЛУХОВИЦЫ (ТРЕТЬЯКОВО)"
(Зарегистрировано в Минюсте РФ 06.04.2022 N 68094)
Показывать страниц:
1
10
100
Для качественной печати:
PDF-файл документа (60 Мб)
<<
<
147
148
149
150
151
152
153
154
155
156
157
>
>>
Страница
152
из
251
<<
<
147
148
149
150
151
152
153
154
155
156
157
>
>>