Министерство Юстиции Российской Федерации
версия для слабовидящих
×
Закрыть
Информация об официальном опубликовании
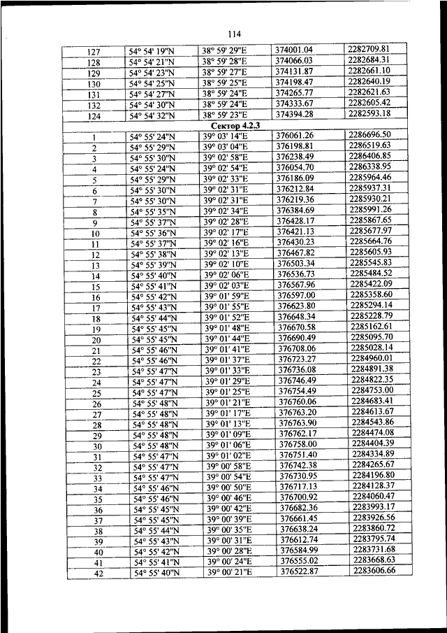
ПРИКАЗ Минпромторга РФ от 15.02.2022 N 404
"ОБ УСТАНОВЛЕНИИ ПРИАЭРОДРОМНОЙ ТЕРРИТОРИИ (ПОДЗОНЫ 1 - 6) АЭРОДРОМА ЭКСПЕРИМЕНТАЛЬНОЙ АВИАЦИИ ЛУХОВИЦЫ (ТРЕТЬЯКОВО)"
(Зарегистрировано в Минюсте РФ 06.04.2022 N 68094)
Показывать страниц:
1
10
100
Для качественной печати:
PDF-файл документа (60 Мб)
<<
<
111
112
113
114
115
116
117
118
119
120
121
>
>>
Страница
116
из
251
<<
<
111
112
113
114
115
116
117
118
119
120
121
>
>>