Министерство Юстиции Российской Федерации версия для слабовидящих
ПРИКАЗ Минкультуры РФ от 13.01.2022 N 44
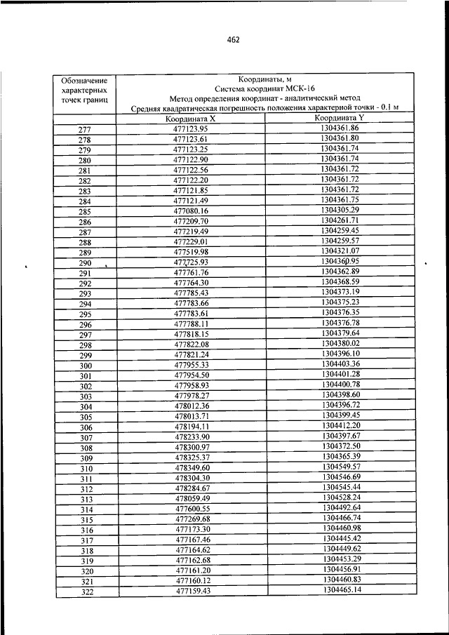
"О ВНЕСЕНИИ ИЗМЕНЕНИЯ В ПРИЛОЖЕНИЕ N 1 К ПРИКАЗУ МИНИСТЕРСТВА КУЛЬТУРЫ РОССИЙСКОЙ ФЕДЕРАЦИИ ОТ 28 ИЮЛЯ 2020 Г. N 845 "ОБ УСТАНОВЛЕНИИ ГРАНИЦ ЗОН ОХРАНЫ ОБЪЕКТА КУЛЬТУРНОГО НАСЛЕДИЯ ФЕДЕРАЛЬНОГО ЗНАЧЕНИЯ "АНСАМБЛЬ КАЗАНСКОГО КРЕМЛЯ", XV - ПЕРВАЯ ЧЕТВЕРТЬ XX ВВ. (РЕСПУБЛИКА ТАТАРСТАН (ТАТАРСТАН)), ВКЛЮЧЕННОГО В СПИСОК ВСЕМИРНОГО НАСЛЕДИЯ, ОБ УТВЕРЖДЕНИИ ТРЕБОВАНИЙ К ГРАДОСТРОИТЕЛЬНЫМ РЕГЛАМЕНТАМ В ГРАНИЦАХ ТЕРРИТОРИЙ ДАННЫХ ЗОН, И О ПРИЗНАНИИ УТРАТИВШИМ СИЛУ ПРИКАЗА МИНКУЛЬТУРЫ РОССИИ ОТ 08.09.2015 N 2367"
(Зарегистрировано в Минюсте РФ 25.02.2022 N 67492)
Показывать страниц:
Для качественной печати: PDF-файл документа (757 Мб)
Страница 462 из 758