Министерство Юстиции Российской Федерации
версия для слабовидящих
×
Закрыть
Информация об официальном опубликовании
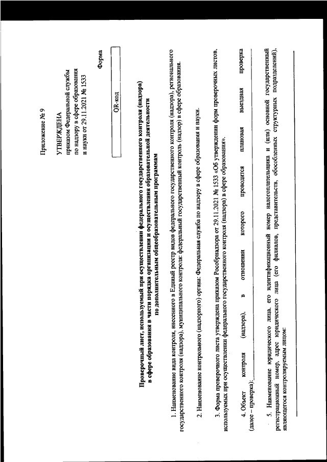
ПРИКАЗ Рособрнадзора от 29.11.2021 N 1533
"ОБ УТВЕРЖДЕНИИ ФОРМ ПРОВЕРОЧНЫХ ЛИСТОВ, ИСПОЛЬЗУЕМЫХ ПРИ ОСУЩЕСТВЛЕНИИ ФЕДЕРАЛЬНОГО ГОСУДАРСТВЕННОГО КОНТРОЛЯ (НАДЗОРА) В СФЕРЕ ОБРАЗОВАНИЯ"
(Зарегистрировано в Минюсте РФ 16.02.2022 N 67302)
Показывать страниц:
1
10
100
Для качественной печати:
PDF-файл документа (13 Мб)
<<
<
58
59
60
61
62
63
64
65
66
67
68
>
>>
Страница
63
из
214
<<
<
58
59
60
61
62
63
64
65
66
67
68
>
>>