Министерство Юстиции Российской Федерации версия для слабовидящих
ПРИКАЗ Федеральной антимонопольной службы от 25.12.2020 N 1273/20
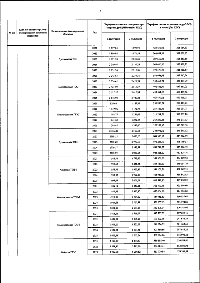
"ОБ УТВЕРЖДЕНИИ ЦЕН (ТАРИФОВ) НА ЭЛЕКТРИЧЕСКУЮ ЭНЕРГИЮ (МОЩНОСТЬ) ДЛЯ ПОСТАВЩИКОВ - СУБЪЕКТОВ ОПТОВОГО РЫНКА, ВЛАДЕЮЩИХ НА ПРАВЕ СОБСТВЕННОСТИ ИЛИ ИНОМ ЗАКОННОМ ОСНОВАНИИ ТЕПЛОВЫМИ ЭЛЕКТРОСТАНЦИЯМИ, ФУНКЦИОНИРУЮЩИМИ НА ТЕРРИТОРИИ НЕЦЕНОВЫХ ЗОН ОПТОВОГО РЫНКА ЭЛЕКТРИЧЕСКОЙ ЭНЕРГИИ И МОЩНОСТИ, УСТАНАВЛИВАЕМЫХ С ПРИМЕНЕНИЕМ МЕТОДА ДОЛГОСРОЧНОЙ ИНДЕКСАЦИИ НЕОБХОДИМОЙ ВАЛОВОЙ ВЫРУЧКИ НА 2021 - 2025 ГОДЫ"
(Зарегистрировано в Минюсте РФ 29.12.2020 N 61901)
Показывать страниц:
Для качественной печати: PDF-файл документа (748 Кб)
Страница 8 из 14