Министерство Юстиции Российской Федерации версия для слабовидящих
ПРИКАЗ Минкультуры РФ от 11.01.2017 N 15
"О ВКЛЮЧЕНИИ ВЫЯВЛЕННЫХ ОБЪЕКТОВ КУЛЬТУРНОГО НАСЛЕДИЯ В ЕДИНЫЙ ГОСУДАРСТВЕННЫЙ РЕЕСТР ОБЪЕКТОВ КУЛЬТУРНОГО НАСЛЕДИЯ (ПАМЯТНИКОВ ИСТОРИИ И КУЛЬТУРЫ) НАРОДОВ РОССИЙСКОЙ ФЕДЕРАЦИИ В КАЧЕСТВЕ ОБЪЕКТОВ КУЛЬТУРНОГО НАСЛЕДИЯ ФЕДЕРАЛЬНОГО ЗНАЧЕНИЯ В СОСТАВЕ ОБЪЕКТА КУЛЬТУРНОГО НАСЛЕДИЯ ФЕДЕРАЛЬНОГО ЗНАЧЕНИЯ "ВОДОПОДВОДЯЩАЯ СИСТЕМА ПЕТЕРГОФА", 1720 - 1721 ГГ., ИНЖ. - ГИДРАВЛИК ТУВОЛКОВ В.Г., 2-Я ПОЛ. ХVIII В., 1944 - 1948 ГГ., 1970-Е ГГ. (РЕСТАВРАЦИЯ), РАСПОЛОЖЕННОГО ПО АДРЕСУ: ГОРОД САНКТ-ПЕТЕРБУРГ, ЛЕНИНГРАДСКАЯ ОБЛАСТЬ, И УТВЕРЖДЕНИИ ГРАНИЦ ИХ ТЕРРИТОРИИ"
(Зарегистрировано в Минюсте РФ 03.02.2017 N 45527)
Показывать страниц:
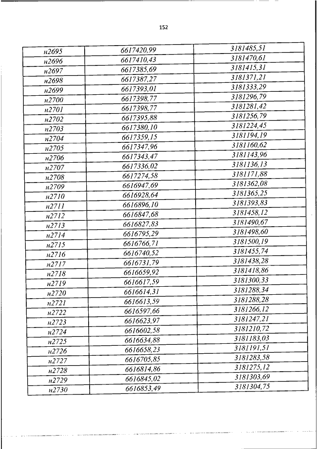
Для качественной печати: PDF-файл документа (49 Мб)
Страница 157 из 171