Министерство Юстиции Российской Федерации версия для слабовидящих
ПРИКАЗ Минтруда РФ от 17.11.2016 N 665н
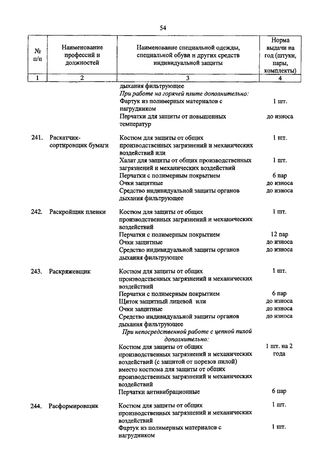
"ОБ УТВЕРЖДЕНИИ ТИПОВЫХ НОРМ БЕСПЛАТНОЙ ВЫДАЧИ СПЕЦИАЛЬНОЙ ОДЕЖДЫ, СПЕЦИАЛЬНОЙ ОБУВИ И ДРУГИХ СРЕДСТВ ИНДИВИДУАЛЬНОЙ ЗАЩИТЫ РАБОТНИКАМ ЦЕЛЛЮЛОЗНО - БУМАЖНОГО, ГИДРОЛИЗНОГО, ЛЕСОХИМИЧЕСКОГО И ДЕРЕВООБРАБАТЫВАЮЩЕГО ПРОИЗВОДСТВ, ЗАНЯТЫМ НА РАБОТАХ С ВРЕДНЫМИ И (ИЛИ) ОПАСНЫМИ УСЛОВИЯМИ ТРУДА, А ТАКЖЕ ВЫПОЛНЯЕМЫХ В ОСОБЫХ ТЕМПЕРАТУРНЫХ УСЛОВИЯХ ИЛИ СВЯЗАННЫХ С ЗАГРЯЗНЕНИЕМ"
(Зарегистрировано в Минюсте РФ 07.12.2016 N 44602)
Показывать страниц:
Для качественной печати: PDF-файл документа (4 Мб)
Страница 55 из 75