Министерство Юстиции Российской Федерации версия для слабовидящих
ПРИКАЗ ФСТ РФ от 04.05.2012 N 90-э/3
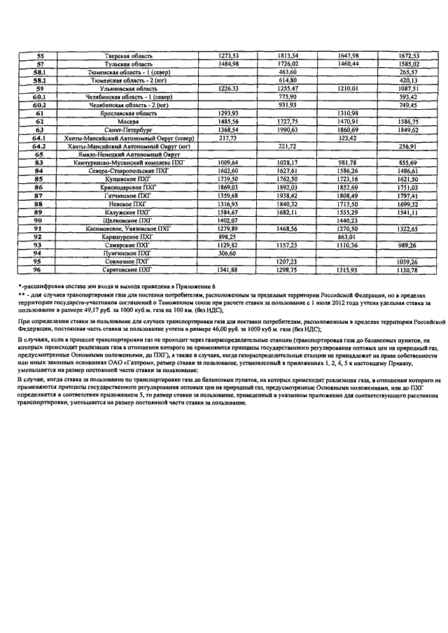
"ОБ УТВЕРЖДЕНИИ ТАРИФОВ НА УСЛУГИ ПО ТРАНСПОРТИРОВКЕ ГАЗА ПО МАГИСТРАЛЬНЫМ ГАЗОПРОВОДАМ ОАО "ГАЗПРОМ", ВХОДЯЩИМ В ЕДИНУЮ СИСТЕМУ ГАЗОСНАБЖЕНИЯ, ДЛЯ НЕЗАВИСИМЫХ ОРГАНИЗАЦИЙ"
(Зарегистрировано в Минюсте РФ 14.05.2012 N 24142)
Показывать страниц:
Для качественной печати: PDF-файл документа (999 Кб)
Страница 6 из 12