Министерство Юстиции Российской Федерации версия для слабовидящих
ПРИКАЗ Минкультуры РФ от 08.12.2015 N 3003
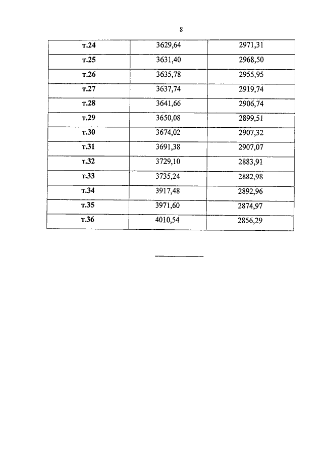
"ОБ УТВЕРЖДЕНИИ ГРАНИЦ И РЕЖИМА ИСПОЛЬЗОВАНИЯ ТЕРРИТОРИИ ОБЪЕКТА КУЛЬТУРНОГО НАСЛЕДИЯ ФЕДЕРАЛЬНОГО ЗНАЧЕНИЯ "АНСАМБЛЬ СОЛОВЕЦКОГО МОНАСТЫРЯ", РАСПОЛОЖЕННОГО ПО АДРЕСУ: ПОС. СОЛОВЕЦКИЙ, НАБЕРЕЖНАЯ БУХТЫ БЛАГОПОЛУЧИЯ, Д. 1"
(Зарегистрировано в Минюсте РФ 31.12.2015 N 40430)
Показывать страниц:
Для качественной печати: PDF-файл документа (3 Мб)
Страница 8 из 10