Министерство Юстиции Российской Федерации версия для слабовидящих
ПРИКАЗ Росграницы от 10.08.2015 N 190-ОД
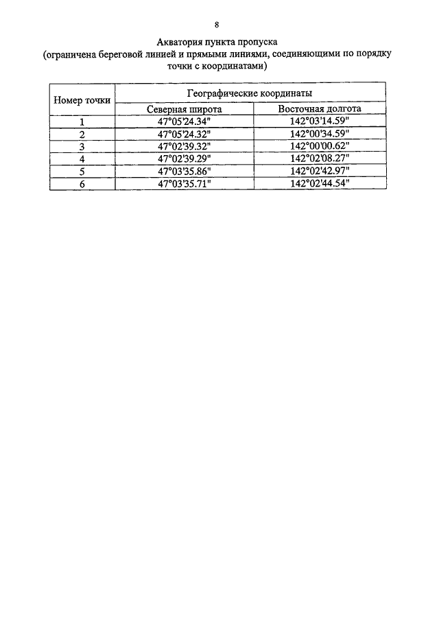
"ОБ УТВЕРЖДЕНИИ ПРЕДЕЛОВ МОРСКОГО ГРУЗО - ПАССАЖИРСКОГО ПОСТОЯННОГО МНОГОСТОРОННЕГО ПУНКТА ПРОПУСКА ЧЕРЕЗ ГОСУДАРСТВЕННУЮ ГРАНИЦУ РОССИЙСКОЙ ФЕДЕРАЦИИ В МОРСКОМ ПОРТУ ХОЛМСК (САХАЛИНСКАЯ ОБЛАСТЬ)"
(Зарегистрировано в Минюсте РФ 02.09.2015 N 38778)
Показывать страниц:
Для качественной печати: PDF-файл документа (370 Кб)
Страница 9 из 9