Министерство Юстиции Российской Федерации версия для слабовидящих
ПРИКАЗ Росграницы от 10.08.2015 N 189-ОД
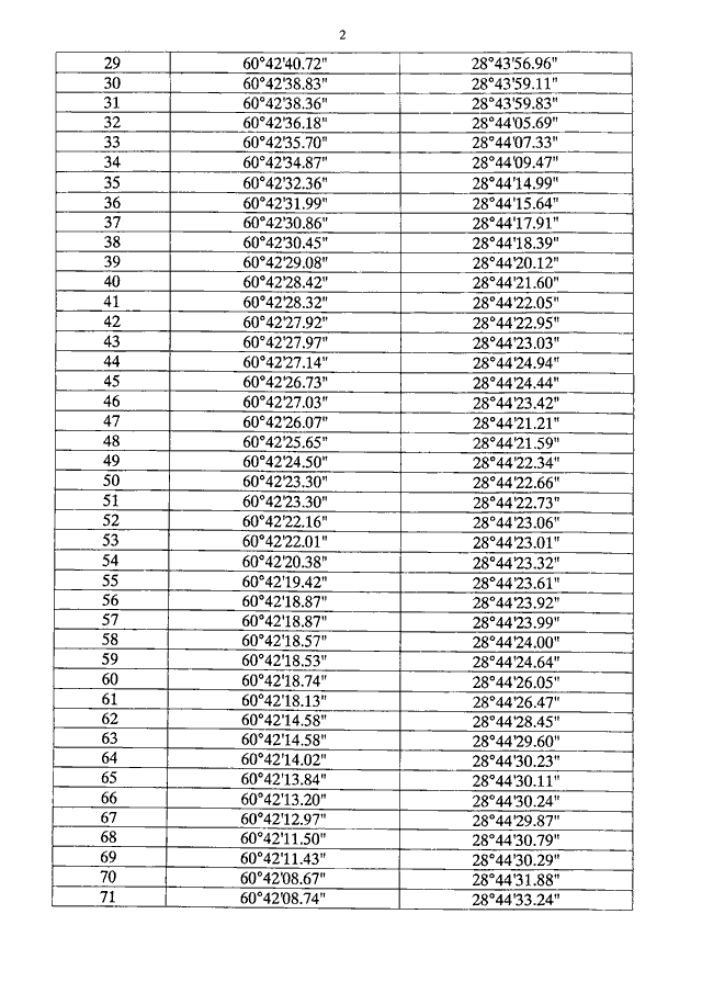
"ОБ УТВЕРЖДЕНИИ ПРЕДЕЛОВ МОРСКОГО ГРУЗО - ПАССАЖИРСКОГО ПОСТОЯННОГО МНОГОСТОРОННЕГО ПУНКТА ПРОПУСКА ЧЕРЕЗ ГОСУДАРСТВЕННУЮ ГРАНИЦУ РОССИЙСКОЙ ФЕДЕРАЦИИ В МОРСКОМ ПОРТУ ВЫБОРГ (ЛЕНИНГРАДСКАЯ ОБЛАСТЬ)"
(Зарегистрировано в Минюсте РФ 20.08.2015 N 38603)
Показывать страниц:
Для качественной печати: PDF-файл документа (172 Кб)
Страница 3 из 4