Министерство Юстиции Российской Федерации версия для слабовидящих
ПРИКАЗ Росграницы от 10.08.2015 N 193-ОД
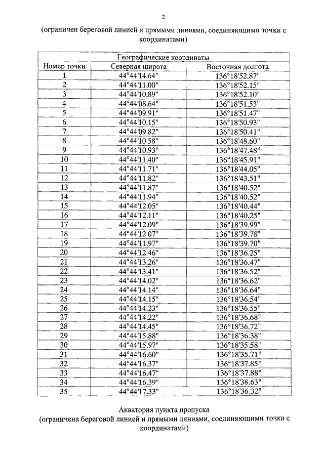
"ОБ УТВЕРЖДЕНИИ ПРЕДЕЛОВ МОРСКОГО ГРУЗОВОГО ПОСТОЯННОГО МНОГОСТОРОННЕГО ПУНКТА ПРОПУСКА ЧЕРЕЗ ГОСУДАРСТВЕННУЮ ГРАНИЦУ РОССИЙСКОЙ ФЕДЕРАЦИИ В МОРСКОМ ПОРТУ ОЛЬГА (ПРИМОРСКИЙ КРАЙ)"
(Зарегистрировано в Минюсте РФ 20.08.2015 N 38604)
Показывать страниц:
Для качественной печати: PDF-файл документа (156 Кб)
Страница 3 из 4