Министерство Юстиции Российской Федерации версия для слабовидящих
ПРИКАЗ Минздравсоцразвития РФ от 22.12.2011 N 1598н
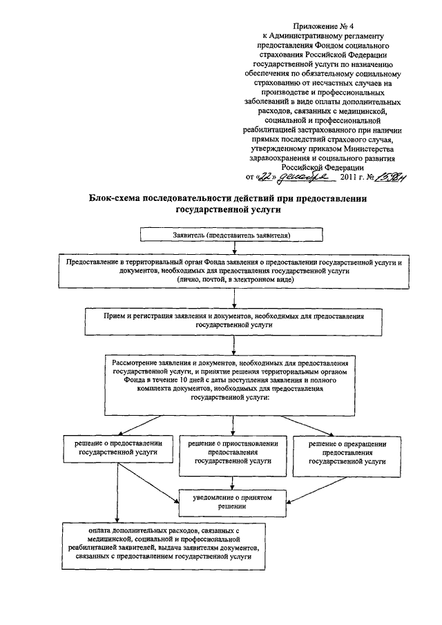
"ОБ УТВЕРЖДЕНИИ АДМИНИСТРАТИВНОГО РЕГЛАМЕНТА ПРЕДОСТАВЛЕНИЯ ФОНДОМ СОЦИАЛЬНОГО СТРАХОВАНИЯ РОССИЙСКОЙ ФЕДЕРАЦИИ ГОСУДАРСТВЕННОЙ УСЛУГИ ПО НАЗНАЧЕНИЮ ОБЕСПЕЧЕНИЯ ПО ОБЯЗАТЕЛЬНОМУ СОЦИАЛЬНОМУ СТРАХОВАНИЮ ОТ НЕСЧАСТНЫХ СЛУЧАЕВ НА ПРОИЗВОДСТВЕ И ПРОФЕССИОНАЛЬНЫХ ЗАБОЛЕВАНИЙ В ВИДЕ ОПЛАТЫ ДОПОЛНИТЕЛЬНЫХ РАСХОДОВ, СВЯЗАННЫХ С МЕДИЦИНСКОЙ, СОЦИАЛЬНОЙ И ПРОФЕССИОНАЛЬНОЙ РЕАБИЛИТАЦИЕЙ ЗАСТРАХОВАННОГО ПРИ НАЛИЧИИ ПРЯМЫХ ПОСЛЕДСТВИЙ СТРАХОВОГО СЛУЧАЯ"
(Зарегистрировано в Минюсте РФ 27.02.2012 N 23346)
Показывать страниц:
Для качественной печати: PDF-файл документа (3 Мб)
Страница 55 из 55